题目链接:https://leetcode.cn/problems/symmetric-tree/description/

1. 问题理解
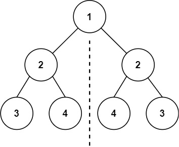
题目要求判断一棵二叉树是否轴对称,也就是这棵树是否以根节点为轴左右镜像相等。
直观理解:
树的左子树和右子树结构一样且对应节点的值相同,就算对称。
换句话说,如果把树沿着中间“折叠”,左边和右边能完全重合。
2. 核心算法
这里最直接的解法是递归比较:
定义一个函数
isMirror(t1, t2),用于判断两个子树是否互为镜像。规则:
如果
t1和t2都是空,返回True。如果一个空一个不空,返回
False。如果
t1.val == t2.val,继续递归比较:t1.leftvst2.rightt1.rightvst2.left
整个过程就是同时检查左边的左子树和右边的右子树是否对称,以及左边的右子树和右边的左子树是否对称。
3. 关键点和边界条件
3.1 关键点
对称条件:左树的左子节点 = 右树的右子节点,左树的右子节点 = 右树的左子节点。
递归比较的是“镜像位置”,而不是普通的相等。
根节点只需要检查它的左右子树是否互为镜像。
3.2 边界条件
空树:直接返回
True(空树本身是对称的)。root只有一个节点:也是对称的。
一个子树空另一个不空:立即返回
False。
class Solution:
def isSymmetric(self, root: Optional[TreeNode]) -> bool:
if not root:
return None
return self.compare(root.left,root.right)
def compare(self,left,right):
if left == None and right != None:
return False
elif left != None and right == None:
return False
elif left == None and right == None:
return True
elif left.val != right.val:
return False
#开始递归该左右节点的左孩子和右孩子 后序遍历
outside = self.compare(left.left,right.right)
inside = self.compare(left.right,right.left)
isSame = outside and inside
return isSame