题目链接:https://leetcode.cn/problems/invert-binary-tree/description/

1.问题理解
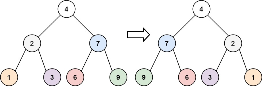
题目要求翻转一棵二叉树,即将每个节点的左子树和右子树交换位置。
简单理解:把树的每个节点的左右孩子都交换一下。
2.核心算法:递归+前序遍历,后序遍历也可以
如果当前节点为空,直接返回
None(递归终止条件)。交换当前节点的左右子树。
对左右子树递归调用同样的操作。
返回当前节点。
3.关键点和边界条件
1.关键点
交换左右子树的操作要在每个节点上执行一次
递归函数最终必须返回当前节点,这样才能正确连接整棵树。
2.边界条件
root为空,直接返回None
只有一个节点的树,翻转后还是自己
from collections import deque
class Solution:
def levelOrder(self, root: Optional[TreeNode]) -> List[List[int]]:
if not root:
return []
queue = collections.deque([root]) #首先加入根节点
result = []
while queue:
level = []
for _ in range(len(queue)):
cur = queue.popleft() #队头弹出
level.append(cur.val)
if cur.left:
queue.append(cur.left)
if cur.right:
queue.append(cur.right)
result.append(level)
return result